Виртуальный некрополь Севастополя
Реестр захоронений времен Великой Отчественной Войны в Севастополе
О проекте
Обратная связь
Контакты
Виртуальный некрополь Севастополя
Участники обороны Севастополя
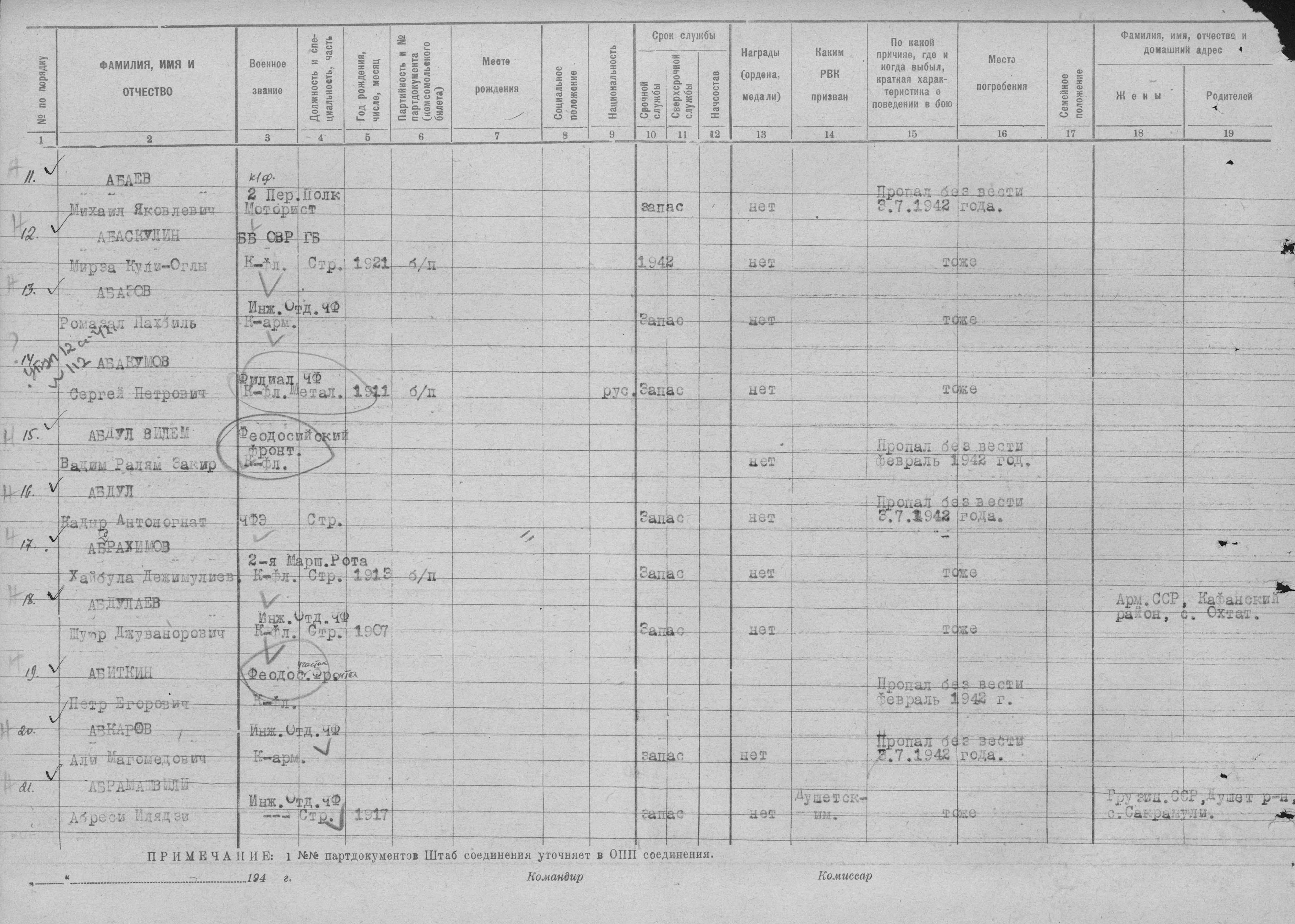
Абдул Кадыр Антоногнат
Абдул Кадыр Антоногнат
новый поиск
скрыть форму
Поиск по фамилии
Найти
Алфавитный указатель
а
(1858)
б
(443)
в
(179)
г
(382)
д
(210)
е
(78)
ж
(63)
з
(152)
и
(119)
к
(720)
л
(229)
м
(615)
н
(138)
о
(100)
п
(1801)
р
(163)
с
(485)
т
(213)
у
(46)
ф
(81)
х
(103)
ц
(34)
ч
(118)
ш
(273)
щ
(69)
э
(8)
ю
(71)
я
(156)
Ф.И.О.:
Абдул Кадыр Антоногнат
Воинское звание:
краснофлотец ЧФ ЧФЭ
Дата выбытия:
03.07.1942 Севастополь
Причина выбытия:
Пропал без вести
Информация:
ЦВМА Картотека безвозвратных потерь; ЦВМА ф.864,о.1,д.1334; ЦВМА ф.1250,о.2,д.163
Архивные документы
Архивные данные
Архивные данные
Архивные данные
Виртуальный некрополь Севастополя
© 2010-2026.
Главная
О проекте
Статьи
Обратная связь
Контакты
Создание сайта -
ГЕОКОН
Виртуальный некрополь Севастополя
Реестр захоронений времен Великой Отчественной Войны в Севастополе
Главная
Некрополь Севастополя
Участники обороны Севастополя
Партизаны Севастополя
О проекте
Статьи
Обратная связь
Контакты